Prelims RESULT: CGPSC State Services Prelims 2025 Result

cgpsc baba
0 Min Read

RESULT: CGPSC State Services Prelims 2025 Result

Click the Link Below

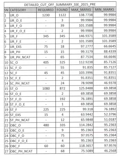
WRITTEN EXAM RESULT STATE SERVICE (PRELIMS) EXAM-2025 (25-03-2026)

Wish You All the Best

https://cgpscbaba.com/toppers-gyan/

Share This Article
Leave a Comment
Subscribe CGPSCBABA
YOUTUBE
Subscribe Now
बहुत जल्दी यूट्यूब में रेगुलर वीडियोस आएँगे !